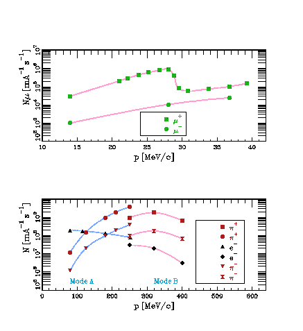
Fig 3 : Positive muon flux in piE1 in achromatic mode